المپدیا

دانش‌نامه‌ی المپیاد کامپیوتر ایران

ابزار کاربر

ابزار سایت


سوالات المپیاد:مرحله ی اول:دوره ی ۹:سوال ۴۶

سوال ۴۶

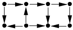
آیا می‌توان به هر نقطه‌ی شکل زیر٬ یک عدد طبیعی نسبت داد٬ به قسمی که اگر از نقطه‌ی مربوط به عدد $A$، یک فلش به نقطه‌ی مربوط به عدد $B$ وجود داشته باشد٬ آن‌گاه $A$ بر $B$ بخش‌پذیر باشد؟

پاسخ

به همه‌ی نقاط عدد یکسان $n$ را نسبت دهید.


ابزار صفحه